margarettrias.org
Portfolio
About
HTML5, CSS3, XML
PHP, SQL
SVG
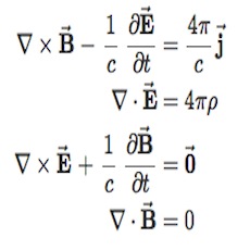
LaTeX
Scalable Vector Graphics
HTML5 Canvas
LaTeX